配资股网-通达信 人气排名函数-【东方资本】,十大股票配资网站排行榜,股票杠杆交易平台欠款怎么办,每日一股tv

安徽天馬機械科技有限公司-官網
  • 0550-7029888
  • |
  • 免責聲明
  • |
  • 網站地圖
  • |
天馬泵閥
0550-7029888
地址:天長市滁州高新技術產業開發區緯二路12號
電話:0550-7029888
手機:13605505188
傳真:0550-7029688
郵箱:987655188@qq.com
1.jpg

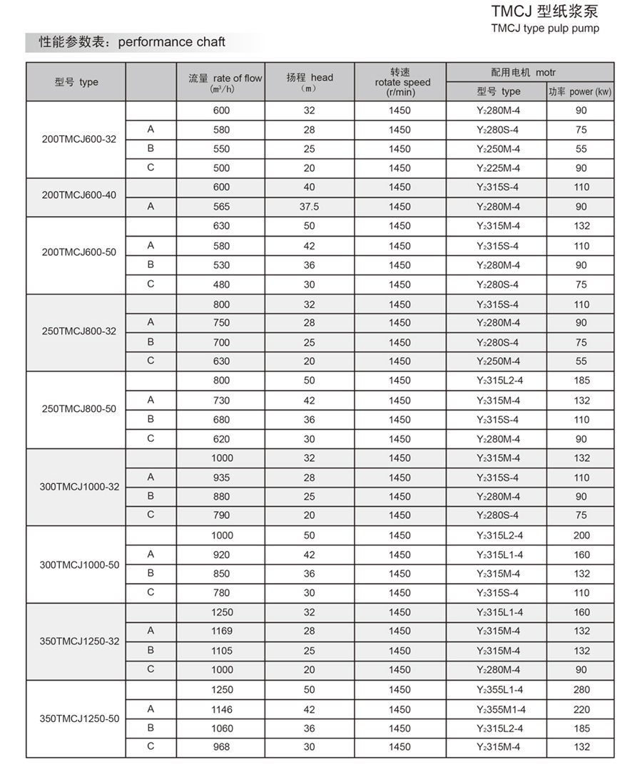
TMCJ型紙漿泵

  • 質量穩定:實行全過程質量監控,多方位檢測!
  • 合理的價格:有效的內部成本控制,減少開支,為客戶著想!
  • 交貨快:完善的生產線,充足的庫存,縮短交貨時間!
  • TEL:0550-7029888
  • FAX:0550-7029688
  • EMAIL:987655188@qq.com
Description

1.jpg2.jpg3.jpg4.jpg5.jpg6.jpg

瀏覽:
返回頂部